Makoko is Ivanhoe’s third major copper discovery in the DRC
Makoko high-grade copper shows characteristics identical
to the tier-one Kamoa-Kakula Discoveries
Makoko has been drilled over an area measuring 4.5 kilometres
by 1.5 kilometres and remains open
Drilling continuing on other Western Foreland targets
KOLWEZI, DEMOCRATIC REPUBLIC OF CONGO — Robert Friedland and Yufeng “Miles” Sun, Co-Chairmen of Ivanhoe Mines (TSX: IVN; OTCQX: IVPAF), announced today that the company has made an important new discovery of high-grade copper on its 100%-owned Western Foreland licences, west of the Kamoa-Kakula mining licence in the Democratic Republic of Congo (DRC).
Ivanhoe holds an extensive land package, totalling approximately 700 square kilometres, of prospective, 100%-owned exploration licences in the Western Foreland area. Ivanhoe began exploration drilling on the licences in the third quarter of 2017. To date, the company has drilled more than 50 holes, the great majority of which have been in the Makoko Discovery area.
Makoko is the first of multiple high-potential target areas identified by Ivanhoe’s exploration team to be tested by drilling. An initial, independent resource estimate for the Makoko Copper Discovery is expected in the current financial quarter. In addition, Ivanhoe recently began exploration drilling on other targets identified in the Western Foreland area to test for high-grade copper.
Selected drill holes at the Makoko Discovery include:
- DD004 (the Makoko discovery hole) intersected 3.94 metres (true width) of 5.46% copper, at a 2.0% copper cut-off, and 3.94 metres (true width) of 5.46% copper at a 1.0% copper cut-off, from a downhole depth of 306 metres.
- DD010 intersected 3.21 metres (true width) of 6.78% copper, at a 2.0% copper cut-off, and 3.95 metres (true width) of 5.81% copper at a 1.0% copper cut-off, from a downhole depth of 441 metres.
- DD017 intersected 3.19 metres (true width) of 6.49% copper at a 2.0% copper cut-off, and 4.64 metres (true width) of 4.88% copper, at a 1.0% copper cut-off, from a downhole depth of 471.7 metres.
- DD025 intersected 3.00 metres (true width) of 7.61% copper at a 2.0% copper cut-off, and 3.00 metres (true width) of 7.61% copper, at a 1.0% copper cut-off, from a downhole depth of 406 metres.
- DD046 intersected 7.44 metres (true width) of 7.81% copper at a 2.0% copper cut-off, and 9.39 metres (true width) of 6.51% copper, at a 1.0% copper cut-off, from a downhole depth of 523.51 metres.
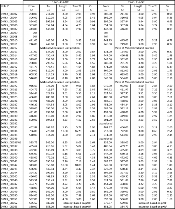
Table 1 on page 13 contains a complete list of assay results, at 1% and 2% copper cut-offs, for the drill holes completed to date at Makoko.
“This latest discovery at Makoko validates our exploration model for the geologic features controlling the high-grade copper mineralization in the region,” said Mr. Friedland. “This model reflects the accumulation of in-depth, proprietary geological insights gained by Ivanhoe’s exploration team during nearly two decades of exploring in the region.
“Given the early drilling success at Makoko, we are highly confident that we have the secret blueprint for additional exploration successes in the Western Foreland area in 2019 and beyond.
“We are in the privileged position of owning 100% of a massive exploration land package with outstanding geological potential next door to our Kamoa and Kakula discoveries. Kamoa-Kakula already has been independently established as the world’s fourth-largest copper project and still is growing. It has copper grades that are the highest, by a wide margin, of the world’s top 10 copper deposits,” Mr. Friedland added.
“While some investors are focused on short-term issues such as the DRC Mining Code revisions and the upcoming presidential election, Ivanhoe’s philosophy is to think big and think long term. Our geological team has done an outstanding job of executing our strategy to continue to add shareholder and stakeholder value by keeping the drill bits turning and delivering spectacular exploration results.
“The government of the Democratic Republic of Congo has encouraged investors to continue their exploration efforts in the DRC. Ivanhoe’s team is the determined and absolute global leader in exploration technology and success. Our talented and dedicated employees will continue to help the Congolese people unlock the full potential of their country’s mineral endowment.
“Our continued exploration successes in the DRC will continue to catch the fullest attention of the mining world,” Mr. Friedland said.
Exploration history and target areas on Ivanhoe’s Western Foreland licences
Exploration on Ivanhoe’s Western Foreland licences began in July 2017, with the construction of all-season access roads, bridge construction and the development of new camp facilities. In parallel, Ivanhoe undertook airborne and ground-based geophysical surveys and revisited previously acquired geophysical and geochemical data sets. The interpretative work led to the definition of a number of promising exploration targets, of which Makoko was the first to be tested with drilling.
The initial discovery hole at Makoko, DD004, was drilled in September 2017. Follow-up and infill drilling has been ongoing since then. Drilling to date at Makoko has defined a flat-lying, near-surface stratiform copper deposit, similar to the Kamoa and Kakula deposits. The structure contour map indicates that the mineralized formation in the Makoko area is within 1,000 metres of surface (see Figure 1 on page 4). The majority of the drilling to date at Makoko has intersected the copper-rich zone between 400 metres and 800 metres below surface. Figure 4 on page 7 shows a three-kilometre section along strike where the flat-lying, copper-rich zone is between 400 metres and 500 metres below surface.
The mineralized zone at Makoko strikes approximately south-southeast. It has been tested over a strike length of 4.5 kilometres and a dip extent of between one and two kilometres. Copper mineralization remains open both along strike and down dip.
The Grand Conglomerate unit (coarse-grained clastic sedimentary rock), the base of which hosts copper mineralization in the Western Foreland area, underlies the majority of the area covered by exploration licences held by Ivanhoe, with the base of the unit interpreted to be generally within 600 metres of surface.
At the nearby Kakula Discovery, the highest copper grades are associated with a siltstone-sandstone unit occurring within the Grand Conglomerate, located approximately one metre above the top of the Mwashia sandstone unit. Mineralization at Kakula consistently is bottom loaded, with grades increasing down-hole toward the contact between the host Grand Conglomerate and the underlying sandstone unit.
Copper mineralization at the Makoko Discovery similarly is located at the base of the Grand Conglomerate, just above the contact with the underlying Roan footwall rocks. This location is consistent with copper mineralization seen in earlier drilling into the Kakula Discovery and elsewhere in the Western Foreland area.
High-grade copper intersections at Makoko are associated with a rhythmically-banded, fine-grained siltstone-sandstone unit similar to the siltstone-hosted mineralization at Kakula, although at Makoko the host package of rocks also includes zones of reworked diamictite. The siltstone-rich zones appear to have been controlled by the underlying basin architecture at the time of deposition.
Sulphide copper mineralization generally is fine-grained and shows typical downward vertical zonation of chalcopyrite to bornite to chalcocite, similar to Kakula. The dominant copper sulphide mineral at Makoko tends to be bornite.
Makoko Discovery validates Ivanhoe’s proprietary exploration model
The new Makoko Discovery is a result of the integration of airborne and ground-based geophysical techniques with a proprietary understanding of the structural and basin architecture controls on mineralization in the Western Foreland area.
This approach has helped guide the ongoing exploration drilling program and also has identified a number of similar high-value targets on the Western Foreland area that will be drill tested in 2019 and beyond.
Figure 1: Detailed map of Makoko Discovery showing structure contours, drill hole collars and section line A-A.

Figure 2: Makoko Discovery’s selected mineralized zones (SMZ) copper grade at a 2% copper cut-off and 3-metre minimum width.

Figure 3: Makoko’s SMZ true thickness at a 2% copper cut-off and 3-metre minimum width.

Figure 4:Section A-A’: A strike-section along the axis of the Makoko Discovery.

Figure 5: Downhole assay plots for Makoko drill holes DD004 and DD010.

Figure 6: Downhole assay plots for Makoko drill holes DD017 and DD046.

Figure 7: Silstone-hosted mineralization in Makoko drill holes DD004, DD017 and DD010. DD004 is one of the holes where chalcocite is the dominant copper sulphide mineral. The purple-coloured copper mineralization in DD017 is bornite.

Figure 8: The host sequence in drillhole DD046 from a downhole depth of 525 metres to 536 metres showing banded siltstone. The darker bands are fine-grained silstone with bornite. The angular hematitic conglomerate at the base of the hole is the Roan Conglomerate.

Figure 9: A drill rig in action at the Makoko Discovery.

Figure 10: One of the drill rigs testing projected high-grade copper trends emanating from the northern part of the Kamoa-Kakula mining licence.

Table 1: Assay composites at 1% and 2% copper cut-off for Makoko drillholes.

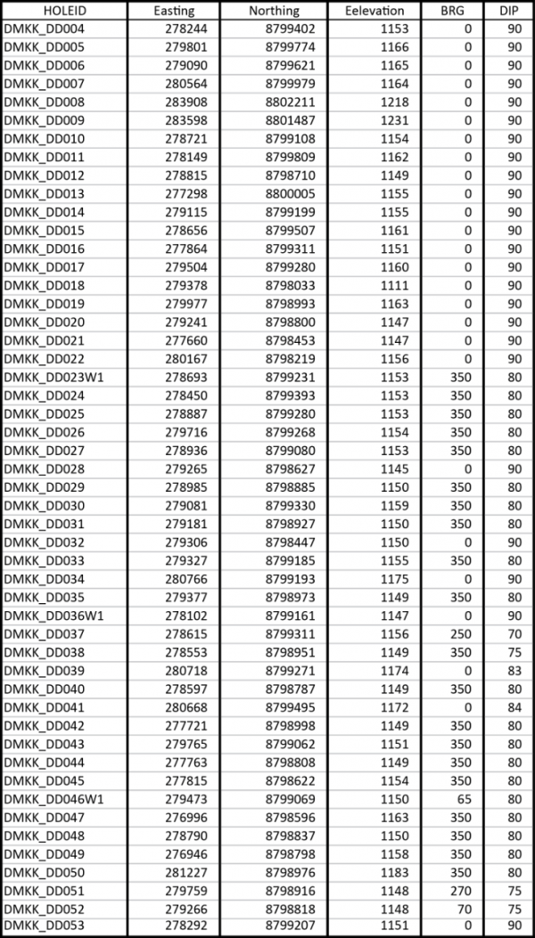
Table 2: Collar location and elevation for Makoko drillholes.

Note: Collar locations and elevations are based on a hand-held GPS unit.
Qualified Person and Quality Control and Assurance
Disclosures of a scientific or technical nature in this news release have been reviewed and approved by Stephen Torr, who is considered, by virtue of his education, experience and professional association, a Qualified Person under the terms of National Instrument 43-101. Mr. Torr is not considered independent under National Instrument 43-101 as he is Ivanhoe Mines’ Vice President, Project Geology and Evaluation. Mr. Torr has verified the technical data disclosed in this news release.
Ivanhoe Mines maintains a comprehensive chain of custody and QA-QC program on assays from its Makoko Project. Half-sawn core is processed at IME’s on-site preparation laboratory and prepared samples then are shipped by secure courier to Bureau Veritas Minerals (BVM) Laboratories in Australia, an ISO17025-accredited facility. Copper assays are determined at BVM by mixed-acid digestion with ICP finish. Industry-standard certified reference materials and blanks are inserted into the sample stream prior to dispatch to BVM.
About Ivanhoe Mines
Ivanhoe Mines is a Canadian mining company focused on advancing its three principal projects in Southern Africa: the development of new mines at the Kamoa-Kakula copper discovery in the Democratic Republic of Congo (DRC) and the Platreef platinum-palladium-nickel-copper-gold discovery in South Africa; and the extensive redevelopment and upgrading of the historic Kipushi zinc-copper-germanium-silver mine, also in the DRC.
Information contacts
Investors
Bill Trenaman +1.604.331.9834
Media
North America: Bob Williamson +1.604.512.4856
South Africa: Jeremy Michaels +27.82.772.1122
Cautionary statement on forward-looking information
Certain statements in this news release constitute “forward-looking statements” or “forward-looking information” within the meaning of applicable securities laws. Such statements and information involve known and unknown risks, uncertainties and other factors that may cause the actual results, performance or achievements of the company, its projects, or industry results, to be materially different from any future results, performance or achievements expressed or implied by such forward-looking statements or information. Such statements can be identified by the use of words such as “may”, “would”, “could”, “will”, “intend”, “expect”, “believe”, “plan”, “anticipate”, “estimate”, “scheduled”, “forecast”, “predict” and other similar terminology, or state that certain actions, events or results “may”, “could”, “would”, “might” or “will” be taken, occur or be achieved.
Such statements include without limitation (i) statements regarding the planned exploration programs at the Western Foreland area; and (ii) statements regarding an initial, independent resource estimate for the Makoko Copper Discovery is expected in the current financial quarter.
Readers are cautioned not to place undue reliance on forward-looking information or statements.
Forward-looking statements and information involve significant risks and uncertainties, should not be read as guarantees of future performance or results and will not necessarily be accurate indicators of whether or not such results will be achieved. A number of factors could cause actual results to differ materially from the results discussed in the forward-looking statements or information, including, but not limited to, the factors discussed under “Risk Factors” and elsewhere in the company’s MD&A, as well as the inability to obtain regulatory approvals in a timely manner; the potential for unknown or unexpected events to cause contractual conditions to not be satisfied; unexpected changes in laws, rules or regulations, or their enforcement by applicable authorities; the failure of parties to contracts with the company to perform as agreed; social or labour unrest; changes in commodity prices; and the failure of exploration programs or studies to deliver anticipated results or results that would justify and support continued exploration, studies, development or operations.
Although the forward-looking statements contained in this news release are based upon what management of the company believes are reasonable assumptions, the company cannot assure investors that actual results will be consistent with these forward-looking statements. These forward-looking statements are made as of the date of this news release and are expressly qualified in their entirety by this cautionary statement. Subject to applicable securities laws, the company does not assume any obligation to update or revise the forward-looking statements contained herein to reflect events or circumstances occurring after the date of this news release.
The company’s actual results could differ materially from those anticipated in these forward-looking statements as a result of the factors set forth in the “Risk Factors” section and elsewhere in the company’s MD&A for the year ended December 31, 2017 and its Annual Information Form.

